【规 格】按C18H18N8O7S3计算 (1)0.25g (2)0.5g (3)1.0g (4)2.0g (5)2.5g (6)3.0g
【包 装】西林瓶装,1瓶/盒、10瓶/盒。
【单 位】瓶
【批准文号】
(1)0.25g 国药准字H20043213
(2)0.5g 国药准字H20043215
(3)1.0g 国药准字H20043214
(4)2.0g 国药准字H20043216
(5)2.5g 国药准字H20044511
(6)3.0g 国药准字H20044512
警示语 本品不能加入哈特曼氏以及林格氏等含有钙的溶液中使用。 本品与含钙剂或含钙产品合并用药有可能导致致死性结局的不良事件。 |
【药品名称】
通 用 名:注射用头孢曲松钠
英 文 名:Ceftriaxone Sodium for Injection
汉语拼音:Zhusheyong Toubaoqusongna
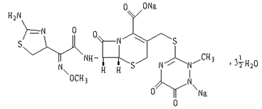
化学名称:(6R,7R)-7-[[(2-氨基-4-噻唑基)(甲氧亚氨基)乙酰]氨基]-8-氧代-3-[[(1,2,5,6-四氢-2-甲基-5,6-二氧代-1,2,4-三嗪-3-基)硫代]甲基]-5-硫代-1-氮杂双环[4.2.0]辛-2-烯-2-羧酸二钠盐三倍半水合物。
其结构式为:

分子式:C18H16N8Na2O7S3•3
H2O
分子量:661.59
【性 状】本品为白色或类白色结晶性粉末;无臭。
【适 应 症】适用于对本品敏感的致病菌引起呼吸道感染(尤其是肺炎)、耳鼻喉感染(如急性中耳炎)、泌尿系统感染、败血症、脑膜炎(如播散性莱姆病早、晚期)、骨和关节感染、皮肤软组织感染、腹腔感染(腹膜炎、胆道及胃肠道感染)、生殖系统感染包括淋病,也可用于术前预防感染。
【规 格】按C18H18N8O7S3计算 (1)0.25g (2)0.5g (3)1.0g (4)2.0g (5)2.5g (6)3.0g
【不良反应】本品耐受性较好,不良反应较少见,约5-7%,表现为轻度过敏反应,如皮疹、瘙痒、荨麻疹、水肿、多型红斑、发热、支气管痉挛;消化道反应,如恶心、呕吐、腹痛、腹胀、软便、腹泻、舌炎、胃炎、结肠炎、味觉异常、黄疸等;神经系统反应:如头痛、眩晕。偶见嗜酸性粒细胞增多、白细胞减少、血小板减少、溶血性贫血等血液学改变及一过性血清转氨酶升高、碱性磷酸酶升高、胆红素升高和血尿素氮肌酐增加等不良反应。这类反应多可自行逆转,或停药后消失。长期使用本品会使不敏感菌过度生长,可致二重感染如念珠菌病、阴道炎。罕见伪膜性肠炎及凝血障碍。
局部副作用:局部应用可出现注射部位疼痛,硬结,极少的情况下,静脉用药后发生静脉炎,可通过减慢静脉注射速度(2-4分钟)以减少这些现象的发生。肌肉注射时,如不加用利多卡因会导致疼痛。
【禁 忌】本品禁用于对头孢菌素过敏的病人。
【注意事项】 1.使用本品前应详细询问患者过敏史,对于任何过敏体质患者均应慎用本品。对青霉素过敏者可能会对本品产生交叉过敏反应,应慎用。 2.与其它头孢菌素一样,尽管已获得病人的全部病史,但也不排除过敏性休克的可能性。一旦出现过敏性休克,应立即给予肾上腺素或其他紧急措施。 3.包括头孢曲松在内的几乎所有的抗菌素都曾有发生伪膜性肠炎的报道,所以对使用抗菌素的腹泻病人考虑到这一诊断是非常重要的。明确诊断后,轻症病例停药即可,中到重度病例则应采取补充液体、电解质和蛋白质等措施,并给予有效的抗菌药。有胃肠道疾病史者慎用。 4.维生素K缺乏者使用本品可能会导致凝血酶原时间延长,应当监测凝血酶原时间,必要时适当补充维生素K。 5.有报道使用本品时会出现胆囊超声图异常,这是由于头孢曲松钙盐沉积所致阴影,可能会误诊为胆囊结石。此阴影会随着本品治疗的结束或终止用药而消失。极少的情况下以上检查所见会伴有症状,有些病例甚至出现胆囊疾病。因此,一旦出现上述症状,应停用本品,建议进行保守的非手术治疗。 6.研究表明,如同其它头孢类抗生素一样,头孢曲松也会从血浆白蛋白中置换出胆红素。长期使用本品时,应定时测定血象。 7.对驾驶车辆及操作机器能力的影响:研究资料未表明对驾驶车辆及操作机器能力有不利影响。 8.诊断性试验的影响:进行本品治疗时,库姆斯氏试验极少会呈假阳性表现。如同其它抗菌素一样,本品也可能使血半乳糖试验出现假阳性结果。因此在使用本品期间,应以酶法测定尿糖。 9.不相溶性:本品不能加入哈特曼氏以及林格氏等含有钙的溶液中使用。据文献报道,本品与氨苯碟啶、万古霉素、氟康唑以及氨基糖苷类抗菌素具有不相溶性。不能混合使用。本品配伍禁忌较多,因此应单独给药。 10.稳定性:本品属β-内酰胺酶类抗生素,应临用前配制。 |
【孕妇及哺乳期妇女用药】使用20倍人用剂量进行小鼠及大鼠生殖毒性试验未出现胚胎毒性和致畸作用。尚未在怀孕妇女中进行过充分良好对照的临床试验。因为动物试验结果不能完全反应人体毒性,妊娠及哺乳期妇女应在确实必要时才用。
【儿童用药】头孢曲松可将胆红素从血清白蛋白上置换下来,患有高胆红素血症的新生儿(尤其是早产儿)可能发展成核黄疸,应慎用或避免使用本品。
【老年用药】除非老年患者虚弱、营养不良或有重度肾功能损害时,一般按成人推荐剂量给药,无须变更。
【药物相互作用】
1.目前为止尚未发现大剂量本品和利尿剂(如呋喃苯氨酸)同时使用所导致的肾功能不全。尚未发现本品增加氨基糖苷类抗菌素的肾脏毒性作用。
2.尚未发现酒后使用本品者发生类戒酒样副作用,仍应避免同时饮酒和服用含酒精的饮料。
3.头孢曲松不含有与某些头孢类抗菌素的出血症状有关的N-甲硫四唑成分。
4.本品的清除不受丙磺舒的影响。
5.体外试验发现氯霉素与头孢曲松合用会产生拮抗作用。头孢菌素类药静脉输注液中加入红霉素、四环素、两性霉素B、血管活性药(间羟胺、去甲肾上腺素等)苯妥英钠、氯丙嗪、异丙醇、维生素B族、维生素C可出现混浊。由于本品的配伍禁忌较多,故应单独给药。
【药物过量】一旦发生药物过量,血液透析或腹膜透析方法不会降低血药浓度。亦无特殊解毒剂。应给予对症治疗。
【药理毒理】药理作用 头孢曲松为长效、广谱头孢菌素,通过抑制细胞壁的合成产生抗菌作用,对革兰氏阳性菌和阴性菌均具有较强的杀菌作用。对β-内酰胺酶(包括青霉素酶和头孢菌素酶)有高度稳定性。体外和临床实验显示头孢曲松钠对下列革兰氏阴性杆菌具有高度抗菌活性:大肠杆菌、克雷伯杆菌、奇异变形杆菌、吲哚阳性变形杆菌、沙门氏菌、志贺氏菌等肠杆菌科细菌以及流感嗜血杆菌;对脑膜炎球菌、淋球菌等革兰氏阴性球菌亦具有良好的抗菌作用;革兰氏阳性球菌如肺炎球菌、化脓性链球菌、草绿色链球菌、牛链球菌等均对本品呈现敏感;对金葡菌也具有一定抗菌作用,但抗菌作用较上述革兰氏阳性球菌为差。绿脓杆菌、不动杆菌对本品的敏感性差。对某些厌氧菌如脆弱类拟杆菌属、梭状牙孢杆菌属、消化球菌属也有抗菌活性。 毒理研究 尚未进行头孢曲松的致癌性研究。遗传毒性试验包括Ames试验、体外人淋巴细胞培养染色体畸变试验显示本品无致突变性。大鼠静脉给予头孢曲松586mg/kg/d,一天一次(约为人用剂量的20倍)对生育力无影响。狗(100mg/kg/d,用4周)和狒狒(335mg/kg/d,用6个月)使用本品后在胆囊中发现有头孢曲松砂粒样钙盐沉积,这种现象在人发生率相对较低。
【药代动力学】
分布 静脉注射头孢曲松能迅速渗透至组织和体液中,表观分布容积为7-12升。一次给予头孢曲松1-2克在肺脏、心脏、胆道、肝脏、扁桃体、中耳及鼻粘膜、骨骼、脑脊液、脑膜液、前列腺液及滑膜液等60多种组织和体液中均可达有效浓度,并维持对敏感细菌的杀菌作用达24小时。头孢曲松能透过新生儿、婴儿及儿童感染的脑膜。新生儿与婴儿每公斤体重分别静脉注射头孢曲松50-100ml,4小时后脑脊液中头孢曲松的浓度达峰值,平均18mg/L,24小时后脑脊液浓度大于1.4mg/L。细菌性脑膜炎时脑脊液平均弥散度占血浓度的17%,而无菌性脑膜炎时仅占4%。成人脑膜炎病人每公斤体重使用头孢曲松50mg,于2-24小时内脑脊液中的浓度可高于最常见的脑膜炎致病菌最低抑菌浓度的数倍。头孢曲松能透过胎盘,在乳汁中也有少量分泌。
蛋白结合性 头孢曲松能可逆性地与白蛋白结合,其结合率随药物浓度的增高而降低。例如血药浓度<25mg/L时蛋白结合率为95%,血药浓度300mg/L时蛋白结合率降至85%,由于间质液中较少白蛋白,所以其中游离头孢曲松比例相应高于血浆。消除头孢曲松在体内不被分解代谢,仅被肠道内菌株转变为无活性的代谢产物。血浆总清除率为10-22毫升/分,肾脏清除率为5-12毫升/分。50-60%的头孢曲松以原形分泌于尿液中,40-50%以原形分泌于胆汁中,最终以无活性代谢物随粪便排泄。成人的消除半衰期约为8小时。
特殊临床情况时的药代动力学 在新生儿,剂量的70%经尿液清除。8天以内的婴儿及75岁以上的老年人平均清除半衰期通常为年轻人的2-3倍。肝或肾功能不全的病人,头孢曲松的药代动力学仅有很少的改变,其半衰期仅有轻度增加,如仅肾功能不全则胆道清除增加,若仅肝功能不全则肾脏清除率增加。血液透析不能显著增加头孢曲松的清除。
【贮 藏】遮光,密闭,在阴凉(不超过20℃)干燥处保存。
【包 装】西林瓶装,1瓶/盒、10瓶/盒。
【有 效 期】24个月。
【执行标准】《中国药典》2015年版二部
【批准文号】(1)0.25g 国药准字H20043213 (2)0.5g 国药准字H20043215 (3)1.0g 国药准字H20043214 (4)2.0g 国药准字H20043216 (5)2.5g 国药准字H20044511 (6)3.0g 国药准字 H20044512
【生产企业】
企业名称:半岛平台
生产地址:山东省临沂高新技术产业开发区罗七路
邮政编码:276017
电话号码:0539-8257899 8481991
传真号码:0539-8481990
售后服务:0539-8242699
适用于对本品敏感的致病菌引起呼吸道感染(尤其是肺炎)、耳鼻喉感染(如急性中耳炎)、泌尿系统感染、败血症、脑膜炎(如播散性莱姆病早、晚期)、骨和关节感染、皮肤软组织感染、腹腔感染(腹膜炎、胆道及胃肠道感染)、生殖系统感染包括淋病,也可用于术前预防感染。
成年人及12岁以上儿童,体重50公斤以上儿童均使用成人剂量,通常剂量是1-2g,每日一次,危重病人或由中度敏感菌引起的感染,剂量可增至4g,每日一次。
新生儿、婴儿及12岁以下儿童,建议以下剂量每日使用一次:新生儿(14天以下)每日剂量为按体重20-50mg/kg,不超过50mg/kg,无需区分早产儿及足月婴儿。婴儿及儿童(15天至12岁)每日剂量按体重20-80mg/kg。
用药方法 肌肉注射:本品1.0g溶于1%盐酸利多卡因3.5ml中用于肌肉注射,以注射于相对大些的肌肉为好,不主张在一处肌肉内注射1g以上剂量。利多卡因溶液绝对不能用于静脉注射。静脉注射:本品1.0g溶于l0ml灭菌注射用水中用于静脉注射,注射时间不能少于2-4分钟。静脉滴注:本品2g溶于4ml0.9%氯化钠溶液或5%葡萄糖注射液中,再用同一溶剂稀释至100-250m1静脉滴注。静脉剂量按体重50毫克/公斤以上时,输注时间至少要30分钟以上。
由于可能会产生药物间的不相溶性,故不能将本品与其它药物混合使用,需联合用药时应分开使用。新配制的溶液应立即使用。
疗程 疗程取决于病程,通常4-14天,严重复杂感染可适当延长。与一般抗菌素治疗方案一样,在发热消退或得到细菌被清除的证据之后,应继续使用本品至少48-72小时。
特殊用药指导 脑膜炎:婴儿及儿童细菌性脑膜炎,开始治疗剂量每公斤体重l00mg(不超过4g),每日一次,一旦确认了致病菌及药敏试验结果,则可酌情减量。急性中耳炎:儿童及成人按体重50mg/kg,最大剂量不超过1g。淋病:治疗淋病(产青霉素酶和不产青霉素酶菌株)推荐用法为单剂量肌肉注射250mg。术前预防性用药:预防污染或非污染手术之后感染,根据感染的危险程度,推荐在术前30-90分钟单剂注射本品1-2g。对结肠直肠手术者以本品单独使用或与5-硝基咪唑(如奥硝唑)联合用药(但分开使用)已被证实是有效的。肝肾功能不全:肾功能不全病人,如其肝功能无损伤则无须减少本品用量,对严重肾功能衰竭病人(肌酐清除率<10m1/min),每日本品用量不超过2g。肝功能受损病人,如肾功能完好亦无须减少剂量。严重的肝、肾功能障碍者,应定期检查本品的血药浓度。正在接受透析治疗的病人,无须在透析后另加剂量,由于这类病人的药物清除率可能会降低,故应进行血药浓度监测,以决定是否需要调整剂量。