【规 格】按C13H17N5O8S2 计算 (1)0.5g;(2)1.0g;(3)2.0g。
【包 装】西林瓶装;1瓶/盒、2瓶/盒、10瓶/盒、20瓶/盒、50瓶/盒。
【单 位】瓶
【批准文号】0.5g 国药准字H20084212;1.0g 国药准字H20084213;2.0g 国药准字H20084214。
【药品名称】
通用名称:注射用氨曲南
英文名称:Aztreonam for Injection
汉语拼音:Zhusheyong Anqu'nan
【成份】
本品主要成份为氨曲南。
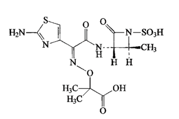
化学名称:[2S-[2α,3β(Z)]]-2-[[[1-(2-氨基-4-噻唑基)-2-[(2-甲基-4-氧代-1-磺基-3-氮杂环丁烷基)氨基]-2-氧代亚乙基]氨基]氧]-2-甲基丙酸。
化学结构式:

分子式: C13H17N5O8S2
分子量: 435.43
本品辅料为:L-精氨酸。
【性状】
本品为白色或类白色粉末或疏松块状物。
【不良反应】
静脉给药可发生静脉炎或血栓性静脉炎,肌肉注射可产生局部不适或肿块,二者的发生率分别约为1.9%和2.4%。
全身性不良反应发生率约1%~1.3%,包括恶心、呕吐、腹泻及皮疹。发生率小于1%的不良反应按系统分类如下:
过敏反应:过敏性休克、血管神经性水肿、支气管痉挛、过敏样反应。
皮肤及其附件:中毒性表皮坏死松解症、紫癜、多形性红斑、剥脱性皮炎、荨麻疹、瘙痒。
呼吸系统:咳嗽、哮喘、胸闷、呼吸困难、胸痛、喉水肿。
消化系统:口腔溃疡、舌头麻木、味觉改变、腹痛、罕见难辨梭菌腹泻,包括伪膜性肠炎和消化道出血。
全身性损害:寒战、发热、乏力、不适、出汗、面部潮红。
神经系统及精神障碍:头晕、头痛、眩晕、失眠、癫痫,精神错乱、感觉异常、震颤。
血液系统:血小板减少、白细胞减少、中性粒细胞减少、贫血。
心血管系统:心悸、低血压、一过性心电图变化(室性二联和PVC)。
肝胆系统:肝功能异常、AST升高,ALT升高,黄疸、肝炎。
其他:肌肉疼痛、肌酐升高、耳鸣、复视、视力异常。
【禁忌】
对氨曲南有过敏史者禁用。
【注意事项】
1.本品与青霉素之间无交叉过敏反应,但对青霉素、头孢菌素过敏及过敏体质者仍需慎用。
2.本品的肝毒性低,但对肝功能已受损的病人应观察其动态变化。
3.氨曲南可与氯霉素磷酸酯、硫酸庆大霉素、硫酸妥布霉素、头孢唑啉钠、氨苄青霉素钠联合使用,但和萘呋西林、头孢拉定、甲硝唑有配伍禁忌。
4.几乎所有的抗生素均有不同程度的伪膜性肠炎报道,包括氨曲南在内,因此,在治疗过程中应注意腹泻症状,并明确诊断。
5.肝肾功能受损的患者,在治疗期间应观察其动态变化。
6.氨曲南与氨基糖苷类抗生素联合使用,特别是氨基糖苷类药品使用量大或治疗期长时,应监测肾功能。
【孕妇及哺乳期妇女用药】
1.本品能通过胎盘进入胎儿循环,虽然动物实验显示其对胎儿无影响、无毒性和无致畸作用,但缺乏在妊娠妇女中进行的充分良好对照的临床研究,对妊娠妇女或有妊娠可能性的妇女,仅在必要时方可给药。
2.本品可经乳汁分泌,浓度不及母体血药浓度的1%,哺乳妇女使用本品时应暂停哺乳。
3.其他药物相互作用尚不明确。
【儿童用药】
婴幼儿的安全性尚未确立,应慎用。
【老年用药】
老年人用药剂量应按其肾功能减退情况酌情减量。
【药物相互作用】
1.本品与氨基糖苷类(庆大霉素、妥布霉素、阿米卡星等)联合、对铜绿假单胞菌、不动杆菌、沙雷杆菌、克雷白杆菌、普鲁威登菌、肠杆菌属、大肠杆菌、摩根杆菌等起协同抗菌作用。
2.本品与头孢西丁,在体外与体内起拮抗作用;与萘呋西林、氯唑西林、红霉素、万古霉素等,在药效方面不起相互干扰作用。
【药物过量】
尚未见使用本品过量的报道,血液透析和腹膜透析将有助于本品从血清中清除。
【药理毒理】
氨曲南对大多数需氧革兰阴性菌具有高度的抗菌活性,包括大肠杆菌、克雷伯氏菌属的肺炎杆菌和奥克西托菌、产气杆菌、阴沟杆菌、变形杆菌属、沙雷菌属、枸橼酸菌属、志贺菌属等肠杆菌科细菌,以及流感杆菌、淋球菌、脑膜炎双球菌等。其对铜绿假单胞菌也具有良好的抗菌作用,对某些除铜绿假单胞菌以外的假单胞菌属和不动杆菌属的抗菌作用较差,对葡萄球菌属、链球菌属等需氧革兰阳性菌以及厌氧菌无抗菌活性。氨曲南通过与敏感需氧革兰阴性菌细胞膜上青霉素结合蛋白3(PBP3)高度亲合而抑制细胞壁的合成。与大多数β-内酰胺类抗生素不同的是它不诱导细菌产生β-内酰胺酶,同时对细菌产生的大多数β-内酰胺酶高度稳定。
【药代动力学】
肌注吸收迅速、完全,正常受试者单次肌注1g,血药峰浓度可达45mg/L,达峰时间1小时左右。单次静脉滴注(30分钟)0.5g、1g及2g后,血清峰浓度分别为54mg/L、90mg/L和204mg/L,8小时后各为1mg/L、3mg/L和6mg/L。以相同剂量改用3分钟静脉推注,血清峰浓度分别为58mg/L、125mg/L和242mg/L。在体内广泛分布于各种组织和体液中,其分布容积成人为20L。在肾、肝、肺、心、胆囊、骨、输卵管、卵巢、子宫内膜和前列腺等组织,以及胆汁、胸腹膜液、心包液、支气管液、羊水、唾液和脑脊液等体液中均可达有效治疗浓度。给药后约60~70%以原形随尿液排泄,12%随粪便排出,以单次0.5g、1g和2g(30分钟)静脉滴注给药后2小时,尿中浓度可达1100mg/L、3500mg/L和6600mg/L,8~12小时仍可维持在25~120mg/L,以单次0.5g和1g肌注给药后2小时,尿中浓度分别为500mg/L和1200mg/L,6~8小时后降至180~470mg/L。本品蛋白结合率为40~65%、血清消除半衰期为1.5~2小时,肾功能不全者血清消除半衰期明显延长,肝功能不全者则略有延长。本品与丙磺舒或利磺胺合用将导致氨曲南血药浓度明显升高。
【贮 藏】遮光, 密闭, 在凉暗处(避光并不超过20℃)保存。
【包 装】西林瓶装;1瓶/盒、2瓶/盒、10瓶/盒、20瓶/盒、50瓶/盒。
【有 效 期】24个月。
【执行标准】《中国药典》2015年版二部
【批准文号】0.5g 国药准字H20084212;1.0g 国药准字H20084213;2.0g 国药准字H20084214。
【生产企业】
企业名称:半岛平台
生产地址:山东省临沂高新技术产业开发区罗七路
邮政编码:276017
电话号码:0539-8257899 8481991
传真号码:0539-8481990
售后服务:0539-8242699
网 址:www.bpdentalplans.com
本品适用于治疗敏感需氧革兰阴性菌所致的各种感染,如:尿路感染、下呼吸道感染、败血症、腹腔内感染、妇科感染、术后伤口及烧伤、溃疡等皮肤软组织感染等。亦用于治疗医院内感染中的上述类型感染(如免疫缺陷病人的医院内感染)。
用法:
1.静脉滴注:每1g氨曲南至少用注射用水3ml溶解,再用适当输液(0.9%氯化钠注射液、5%或10%葡萄糖注射液或林格氏注射液)稀释,氨曲南浓度不得超过2%,滴注时间20~60分钟。
2.静脉推注:每瓶用注射用水6~10ml溶解,于3~5分钟内缓慢注入静脉。
3.肌肉注射:每1g氨曲南至少用注射用水或0.9%氯化钠注射液3ml溶解,深部肌肉注射。
用量:
病人单次剂量大于1g或患败血症、其他全身严重感染或危及生命的感染应静脉给药,最高剂量每日8g。
病人有短暂或持续肾功能减退时,宜根据肾功能情况,酌情减量。对肌酐清除率小于10~30ml/(min·1.73m2)的肾功能损害者,首次用量1g或2g,以后用量减半;对肌酐清除率小于10ml/(min·1.73m2),如依靠血液透析的肾功能严重衰竭者,首次用量0.5g、1g或2g,维持量为首次剂量的1/4,间隔时间为6、8或12小时;对严重或危及生命的感染者,每次血液透析后,在原有的维持量上增加首次用量的1/8。