【规 格】10mg,20mg
【包 装】口服固体药用高密度聚乙烯瓶(1)10mg:10片/瓶,20片/瓶 ;1瓶/盒;(2)20mg:10片/瓶;1瓶/盒;
【单 位】片
【批准文号】10mg:国药准字H20065119 20mg:国药准字H20065120。
【药品名称】
通用名称:辛伐他汀片
英文名称:Simvastatin Tablets
汉语拼音:Xinfatating Pian
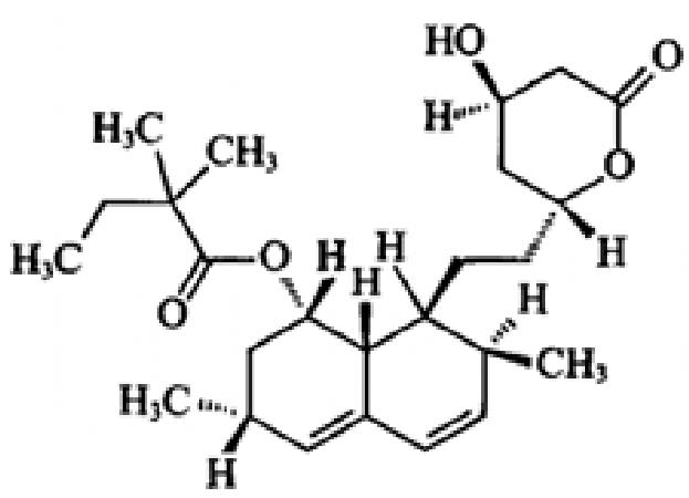
【成 份】本品主要成份为辛伐他汀。化学名称: 2,2-二甲基丁酸(4R,6R)-6-[2-[(1S,2S,6R,8S,8αR)-1,2,6,7,8,8α-六氢-8-羟基-2,6-二甲基-1-萘基] 乙基] 四氢-4-羟基-2H-吡喃-2-酮-8-酯。
化学结构式:

分子式:C25H38O5
分子量:418.57
【性 状】本品为薄膜衣片,除去包衣后显白色至淡黄色。
【不良反应】
本品一般耐受性良好,大部分不良反应轻微且为一过性。在对照临床研究中不足2%的患者因本品的不良反应而中途停药。在上市前的对照临床研究中,研究者认为与药物有关(分为可能、很可能或肯定)且发生率≥1%的不良反应有腹痛、便秘和胃肠胀气;发生率为0.5~0.9%的不良反应有疲乏无力和头痛。肌病的报道很罕见。见注意事项,肌病/横纹肌溶解。
在HPS研究中,共有20536名患者每日服用本品40mg(n=10269)或安慰剂(n=10267),平均观察时间为5年,两组间的安全性相似。这项大型试验只记录了严重不良反应和因副作用而退出研究的人数。两组间因不良反应退出的比例是相似的(辛伐他汀组4.8%,安慰剂5.1%)。辛伐他汀组中的肌病发生率小于0.1%。辛伐他汀组和安慰剂组的转氨酶升高(重复检查中,超过正常值上限3倍以上)的比例分别为0.21%(n=21)和0.09%(n=9)。在北欧辛伐他汀生存研究(4S)中,4444名患者每天服用本品20~40mg(n=2221)或安慰剂(n=2223),随访时间的中位数为5.4年,两组间的安全性及耐受性相似。在无对照临床研究或上市后的应用中报道过下列不良反应:恶心、腹泻、皮疹、消化不良、瘙痒、脱发、晕眩、肌肉痉挛、肌痛、胰腺炎、感觉异常、外周神经病变、失眠、抑郁、呕吐,贫血,勃起功能障碍和间质性肺病。极少发生横纹肌溶解和肝炎/黄疸,极罕见有致命及非致命肝衰竭的发生。罕见有与使用他汀有关的免疫介导性坏死性肌病(IMNM)(一种自身免疫性肌病)的报告。
IMNM的特征为:近端肌无力和血清肌酸激酶升高(停用他汀后症状仍然存在);肌肉活检显示为无显著炎症的坏死性肌病;应用免疫抑制剂后改善(见注意事项,肌病/横纹肌溶解)。
包括下列一项或多项症状的明显的过敏反应综合症罕有报道:过敏性反应,血管神经性水肿、狼疮样综合征、风湿性多发性肌痛、皮肤肌炎、脉管炎、血小板减少症、嗜酸性细胞增多、红细胞沉降率(ESR)升高、关节炎、关节痛、荨麻疹、光敏感、发烧、潮红、呼吸困难以及不适。
上市后经验:他汀类药品的国外上市后监测中有罕见的认知障碍的报道,表现为记忆力丧失、记忆力下降、思维混乱等,多为非严重、可逆性反应,一般停药后即可恢复。
实验室检查发现 血清转氨酶显著和持续性升高的情况罕有报道。曾报道过碱性磷酸酶和γ-谷氨酸转肽酶升高的情况。肝功能检查异常为轻微和一过性的。
来源于骨骼肌的血清肌酸激酶(CK)升高的情况已有报道(见注意事项)。他汀类药品的上市后监测中有高血糖反应、糖耐量异常、糖化血红蛋白水平升高、新发糖尿病、血糖控制恶化的报告,部分他汀类药品亦有低血糖反应的报告。对于辛伐他汀,有升高糖化血红蛋白和空腹血糖的报告。
儿童患者(年龄10~17岁) 在一项包括年龄10~17岁的儿童杂合子家族性高胆固醇血症患者的研究中(n=175),辛伐他汀治疗组的安全性和耐受性总体与安慰剂治疗组类似(见注意事项;儿童用药)。
【禁忌】
---对本品任何成份过敏者。
---活动性肝脏疾病或无法解释的血清转氨酶持续升高者。
---怀孕和哺乳期妇女(见注意事项、怀孕和哺乳期妇女用药)。
---与强CYP3A4抑制剂联合应用(例如,伊曲康唑、酮康唑、泊沙康唑、伏立康唑、HIV蛋白酶抑制剂、波普瑞韦、替拉瑞韦、红霉素、克拉霉素、泰利霉素、奈法唑酮或含有cobicistat的药物)(见注意事项,肌病/横纹肌溶解以及药物相互作用)。---与吉非贝齐、环孢菌素或达那唑联合应用(见注意事项,肌病/横纹肌溶解以及药物相互作用)。
【注意事项】
肌病/横纹肌溶解 辛伐他汀偶尔能引起肌病,表现为肌肉痛、触痛或乏力,并伴随肌酸激酶(CK)升高,超过正常上限的10倍。肌病有时形成横纹肌溶解,伴或不伴继发于肌红蛋白尿的急性肾功能衰竭,由此发生的致命性事件罕见。血浆中HMG-CoA还原酶抑制剂水平很高时肌病的危险增加(即辛伐他汀与辛伐他汀酸的血药浓度升高),部分原因可能是相互作用的药物干扰辛伐他汀代谢和/或转运途径(见药物相互作用)。可预知的引起肌病的因素包括老龄(≥65岁),女性,未控制的甲状腺机能减退及肾功能不全。肌病/横纹肌溶解的风险与剂量相关。在一个临床试验数据库中,有41413名患者接受了辛伐他汀治疗。这些研究中有24747人(约为60%)中位随访期为至少4年,20,40和80mg/天的肌病发生率分别约为0.03%,0.08%和0.61%。
在这些试验中,对患者进行了仔细的监测,并排除了某些相互作用的药品。在一项临床试验中,共入选12064名心肌梗死病史的患者,平均随访6.7年,接受辛伐他汀80mg/天治疗肌病的发生率约为1.0%,而接受20mg/天的患者则为0.02%。横纹肌溶解的发生率,接受辛伐他汀80mg/天治疗的患者发生率约为0.4%,而接受20 mg/天的患者则为0%。约有半数的肌病病例,是在治疗的第1年中发生的。在以后治疗的每1年中,肌病的发生率约为0.1%。接受辛伐他汀80mg的患者,与接受具有相似的LDL-C降低效应的以其他他汀类为基础的治疗相比,肌病的风险较高。应向所有开始辛伐他汀治疗的患者,或正在增加辛伐他汀剂量的患者提醒包括横纹肌溶解在内的肌病的风险,并且告知他们应及时报告任何原因不明的肌肉痛、触痛或肌无力。如果诊断或怀疑肌病,应立即停用辛伐他汀。
出现这些症状,并且CK水平超过10倍正常上限,表明发生了肌病。在大多数病例中,当患者及时停用治疗时,肌肉症状和CK升高可以得到缓解(见不良反应)。在开始辛伐他汀治疗或正在增加剂量的患者中,可考虑定期测定CK。这种监测并不一定可以预防肌病。在辛伐他汀治疗期间发生横纹肌溶解的患者,多数具有复杂的病史。这些病史中包括肾功能不全-通常是由长期的糖尿病导致的。对此类患者应进行更为严密的监测。在行择期大手术之前和任何严重的内科或外科疾病发生的情况下,辛伐他汀治疗可以暂停几天。在一项临床试验中,处于高心血管疾病风险的患者接受40mg/日辛伐他汀(中位随访期为3.9年)治疗,结果表明,非中国裔患者(n=7367)中肌病发生率约为0.05%,与之相比,中国裔患者(n=5468)的发生率为0.24%。
然而,这项临床试验在亚裔群体中只评估了中国裔患者,因此,在开具辛伐他汀处方给亚裔患者时应该慎重,并应采用最低的必要剂量。
药物相互作用
辛伐他汀与下列药物联合应用可增加肌病/横纹肌溶解的危险:禁忌联合应用的药物
CYP3A4强抑制剂:禁止联合应用说明书上列举的在治疗剂量下对CYP3A4具有强抑制作用的药物(例如,伊曲康唑、酮康唑、泊沙康唑、伏立康唑、红霉素、克拉霉素、泰利霉素、HIV蛋白酶抑制剂、波普瑞韦、替拉瑞韦、奈法唑酮或含有cobicistat的药物)。如果短期内不可避免的需要应用CYP3A4强抑制剂治疗,在此治疗期间要暂停辛伐他汀治疗(见禁忌;药物相互作用) 。
吉非贝齐,环孢菌素或达那唑:辛伐他汀禁忌与这些药物合用(见禁忌;药物相互作用)。
其他药物
•夫西地酸:应用夫西地酸治疗的患者同时应用辛伐他汀治疗时,可能会增加发生肌病/横纹肌溶解的风险。(见药物相互作用,其他药物相互作用,药代动力学)。辛伐他汀治疗期间不推荐合用夫西地酸。对那些需要全身性使用夫西地酸的病人,有必要考虑在整个夫西地酸用药期间停用辛伐他汀。在特殊情况下,需要延长全身性使用夫西地酸,例如为了治疗严重的感染,应该具体分析每个患者的情况,并在严密的医疗监测下考虑是否需要辛伐他汀与夫西地酸合用。
•其他贝特类:在同时处方除吉非贝齐之外的其他贝特类和辛伐他汀时应谨慎,因为这两类药物单用时都能导致肌病。而两者联合应用时肌病的风险会增加。应当仔细权衡使用的获益与风险。
•胺碘酮、氨氯地平或雷诺嗪:联合应用胺碘酮、氨氯地平或雷诺嗪的患者,辛伐他汀的剂量不应超过每天20mg。
•维拉帕米、地尔硫卓或决奈达隆:联合应用维拉帕米、地尔硫卓或决奈达隆的患者,辛伐他汀的剂量不应超过每天10mg。
•洛美他派:在HoFH患者中同时服用洛美他派和辛伐他汀,辛伐他汀的剂量不应超过每天40mg(见药物相互作用,其他药物相互作用)。
•CYP3A4中效抑制剂:应用说明书上列举的对CYP3A4有中等抑制作用的药物的患者,联合应用辛伐他汀,尤其是较高剂量的辛伐他汀, 其肌病的风险增加。当辛伐他汀与CYP3A4中效抑制剂合用时,有必要对辛伐他汀的剂量进行调整。
•乳腺癌耐药蛋白抑制剂(BCRP):联合应用BCRP抑制剂时(例如elbasvir和grazoprevir),可导致辛伐他汀血药浓度的增加从而增加肌病的风险,因此有必要对辛伐他汀的剂量进行调整。尚无辛伐他汀与elbasvir和grazoprevir联合应用的研究资料;在联合应用elbasvir或grazoprevir的患者中,辛伐他汀的剂量不应超过每天20mg(见药物相互作用,其他药物相互作用)。
•烟酸(≥1g/天):在辛伐他汀与调脂剂量(≥1g/天)的烟酸联合应用时,观察到了肌病/横纹肌溶解病例。在一项临床试验(中位随访期3.9年)中,处于高心血管疾病风险且LDL-C水平控制良好的患者,在联合或不联合使用10mg依折麦布的情况下接受40mg/日辛伐他汀治疗,结果表明,增加调脂剂量(≥1g/日)的烟酸没有增加心血管结局的获益。因此,联合使用辛伐他汀与烟酸时,应对联合使用的获益与其潜在风险进行仔细权衡。此外,在这项试验中,接受辛伐他汀40mg 或依折麦布辛伐他汀10/40mg治疗的中国裔患者的肌病发生率约为0.24%,与之相比,接受辛伐他汀40mg或依折麦布辛伐他汀10/40mg与缓释烟酸拉罗匹仑2g/40mg联合治疗的中国裔患者的肌病发生率为1.24%。然而,这项临床试验在亚裔群体中仅评估了中国裔患者,由于中国裔患者中肌病发生率高于非中国裔患者,所以不推荐本品与调脂剂量(≥1g/日)烟酸联用在亚裔人群中的使用(见药物相互作用,其他药物相互作用)。
肝功能损伤临床研究中,大约1%接受辛伐他汀治疗的成年患者出现血清转氨酶持续升高(高于正常值上限3倍)。这些患者间断或终止用药后,转氨酶水平通常缓慢地降低到治疗前水平。这种转氨酶升高不伴有黄疸或其他的症状或体征,没有过敏的表现,这些患者中的一部分人在辛伐他汀治疗前肝功能检查异常和/或饮用过大量的酒精。在北欧辛伐他汀生存研究中,整个研究期间有一种以上转氨酶升高超过正常值上限3倍的患者数,在辛伐他汀组和安慰剂组之间没有显著差异[14(0.7%):12(0.6%)]。
辛伐他汀组SGPT(ALT)单项升高达到正常值上限3倍的出现频率在研究的第一年中明显较高(20:8,P=0.023),但此后就不再明显。转氨酶的升高导致辛伐他汀治疗组(n=2221)中8名患者及安慰剂组(n=2223)中5名患者停药。4S研究中,用辛伐他汀治疗的1986名患者在基线时肝功能检查(LFTs)正常,仅有8人(0.4%)在5.4年(中位随访期)中转氨酶连续超过正常值上限3倍和/或由于转氨酶升高而停药。此研究中所有患者辛伐他汀的起始剂量均为20mg,其中37%的患者在治疗过程中调整到40mg。
在包括1105名患者的2项对照临床研究中,认为与药物有关的肝转氨酶持续升高6个月的发生率,在40mg和80mg剂量组分别为0.7%和1.8%。在HPS研究中,20536名患者被随机分配服用辛伐他汀每日40mg或安慰剂,转氨酶升高超过正常值上限3倍的发生率在辛伐他汀组和安慰剂组分别为0.21%和0.09%。建议在治疗开始前和随后的有临床指征时进行肝功能检查。应特别注意出现血清转氨酶升高的患者,对这些患者应及时重复测定并于此后增加肝功能检查的频率。如果转氨酶水平表现为上升趋势,尤其是转氨酶值上升到正常值上限3倍并持续不降时,应停药。应注意丙氨酸转氨酶可能来自肌肉,因此丙氨酸转氨酶伴随肌酸激酶升高,有可能提示肌病(见注意事项,肌病/横纹肌溶解)。
现在已有极少数关于患者应用他汀类,包括本品,发生致命和非致命的肝衰竭的上市后报告。假如在应用本品治疗期间发生严重的肝损伤伴随临床症状,和/或高胆红素血症,或发生黄疸,立即停止应用本品。如果没有找到致病源,不要再重新应用本品。对饮用大量酒精和/或有既往肝脏病史的患者,应谨慎使用该药。辛伐他汀禁用于活动性肝脏疾病或原因不明的转氨酶升高的患者。与其他降脂药一样,辛伐他汀治疗后有血清转氨酶中度(低于正常上限的3倍)升高的报道。这些变化在辛伐他汀治疗开始后很快出现,但往往是暂时的,不伴有任何症状并且不需要中断治疗。
眼科检查即使在没有任何药物治疗时,随着年龄的增长晶状体混浊的发病率也会增加。长期临床研究资料显示,辛伐他汀对人的晶状体无不良影响。
【孕妇及哺乳期妇女用药】
妊娠期妇女 妊娠期妇女禁用本品。尚未有妊娠期妇女服用辛伐他汀的安全性数据。在妊娠妇女中尚未进行辛伐他汀的对照临床试验。由于在孕期使用HMG-CoA而导致的先天缺陷也很少有报道。但是,在对大约200名孕期的前三个月使用过辛伐他汀或其他密切相关的HMG-CoA抑制剂的患者回顾性分析时发现,先天缺陷的发生率与普通人群相似。这种回顾的患者数在统计学上已经能够排除先天缺陷的发生率不高于普通发生的2.5倍或更高。
尽管没有明确的证据能说明怀孕妇女使用辛伐他汀会造成先天缺陷发生增多,但是辛伐他汀能降低胎儿的甲羟戊酸(胆固醇生物合成的前体)水平。动脉粥样硬化是慢性过程,所以妊娠期停用降脂药对治疗原发性高胆固醇血症的长期效果影响甚小。因此妊娠期妇女、准备怀孕或可能怀孕的妇女禁用本品。在怀孕期间应暂停使用本品(见禁忌)。哺乳期妇女 目前还不了解辛伐他汀及其代谢产物是否经人乳分泌,因为许多药物经人乳分泌且可能引起的严重不良反应,服用本品的妇女不宜哺乳(见禁忌)。
【儿童用药】
辛伐他汀在年龄10~17岁的杂合子家族性高胆固醇血症患者中的安全性和有效性已在一个在青春期男孩和女孩(至少初潮1年后)中进行的对照试验得到评价。辛伐他汀治疗组患者的不良事件总体与安慰剂组类似。在此人群中未进行剂量大于40mg的研究。在这个有限的对照研究中,未发现辛伐他汀对青春期男性或女性的生长或性成熟有明显的影响,或对青春期女性的月经周期长度有影响(见用法用量;不良反应)。建议青春期女性辛伐他汀治疗时采用适当的避孕方法(见禁忌;注意事项;孕妇及哺乳期妇女用药)。未在年龄小于10岁的患者及月经初潮前的女孩中进行辛伐他汀的研究。
【老年用药】
在老年患者(>65岁)应用辛伐他汀的对照临床研究中,其降低总胆固醇和低密度脂蛋白胆固醇的效果与其他人群的结果相似,不良反应和实验室检查异常的总发生率也无明显增多。然而,在一项患者接受80mg/天辛伐他汀治疗的临床试验中,65岁及以上的患者发生包括横纹肌溶解在内的肌病的风险相对高于65岁以下的患者。
【药物相互作用】
多种机制可能引起与HMG-CoA还原酶抑制剂之间潜在的相互作用。抑制某些酶(如CYP3A4)和/或转运蛋白(如OATP1B)通路的药物或草药产品可能会使辛伐他汀和辛伐他汀酸的血药浓度升高,导致肌病/横纹肌溶解的风险增加。查阅所有联合用药的处方信息以获取与辛伐他汀潜在的相互作用和/或酶、转运机制的变化以及给药剂量和方案调整的更多信息。
药物禁忌
禁忌联合应用以下药物:CYP3A4强抑制剂:辛伐他汀通过CYP3A4代谢但没有CYP3A4抑制活性;因此它不会影响通过CYP3A4代谢的其他药物的血浆浓度。强效CYP3A4抑制剂(如下)通过减少辛伐他汀的消除而增加肌病的危险。禁止联合应用说明书上列举的对CYP3A4 具有强抑制作用的药物(例如,伊曲康唑,酮康唑,泊沙康唑,伏立康唑,红霉素,克拉霉素,泰利霉素,HIV蛋白酶抑制剂,波普瑞韦、替拉瑞韦、奈法唑酮或含有cobicistat的药物)合用(见禁忌;注意事项,肌病/横纹肌溶解)。吉非贝齐,环孢菌素或达那唑: 禁止与辛伐他汀联合使用(见禁忌;注意事项,肌病/横纹肌溶解)。
其他药物相互作用
其他贝特类:联合应用除吉非贝齐之外的其他贝特类会增加肌病的风险;联合使用时应当谨慎权衡获益与风险。胺碘酮:胺碘酮与辛伐他汀联合应用时, 肌病/横纹肌溶解的风险可能会增加 (见用法用量;注意事项,肌病/横纹肌溶解)。钙通道阻滞剂:维拉帕米、地尔硫卓或氨氯地平和辛伐他汀联合应用时,肌病/横纹肌溶解的风险可能会增加(见用法用量;注意事项;肌病/横纹肌溶解)。洛美他派:联合应用洛美他派和辛伐他汀的患者,其肌病/横纹肌溶解发生的危险性可能会增加(用法用量;注意事项,药物相互作用)。
CYP3A4中效抑制剂:应用说明书上列举的对CYP3A4有中等抑制作用的药物的患者,联合应用辛伐他汀,尤其是较高剂量的辛伐他汀,其肌病发生的危险性可能会增加。OATP1B1转运蛋白抑制剂:辛伐他汀酸是OATP1B1转运蛋白的底物。与OATP1B1转运蛋白抑制药物联合应用时,可能引起辛伐他汀酸的血浆浓度升高,增加肌病的风险。乳腺癌耐药蛋白抑制剂(BCRP):辛伐他汀是外排性转运体BCRP的底物,联合应用BCRP抑制剂时(例如elbasvir和grazoprevir),将导致辛伐他汀血药浓度的增高从而增加肌病风险。
在联合应用辛伐他汀与elbasvir或grazoprevir的患者中,有必要调整辛伐他汀的剂量(见用法用量;注意事项,其他药物)。烟酸(≥1g/天):在辛伐他汀与调脂剂量的烟酸(≥1g/天)联合使用中观察到了肌病/横纹肌溶解的病例(见注意事项,肌病/横纹肌溶解)。夫西地酸:联合应用夫西地酸可能会增加肌病/横纹肌溶解的风险(见注意事项,肌病/横纹肌溶解;药代动力学)。秋水仙碱:有报告显示, 在肾功能不全的患者中,联合应用秋水仙碱和辛伐他汀会引起肌病和横纹肌溶解。建议对联合应用这些药物的患者, 给予密切临床监测。其他相互作用 葡萄柚汁含有一种或多种抑制CYP3A4的成份,能增加经CYP3A4代谢的药物的血浆水平。常规饮用量(每日一杯250ml)所产生的影响很小。
(通过测定浓度-时间曲线下面积,血浆HMG-CoA还原酶抑制活性增加了13%)且无临床意义。但是较大量的饮用则显著增加血浆HMG-CoA还原酶抑制剂的活性,因此,在辛伐他汀治疗期间应避免饮用葡萄柚汁(见注意事项,肌病/横纹肌溶解)。香豆素衍生物 在一项健康志愿者和另一项高胆固醇血症患者参加的临床研究中,每天服用辛伐他汀20~40mg,能中度提高香豆素类抗凝剂的抗凝效果,以凝血酶原时间国际标准化比率(INR)计,健康志愿者组的凝血酶原时间从基线的1.7延长到1.8秒,高胆固醇血症患者组从2.6延长到3.4秒。对于使用香豆素抗凝剂的患者,应在使用辛伐他汀之前测定其凝血酶原时间,并在治疗初期经常测量,以保证凝血酶原时间无明显变化。一旦记录下稳定的凝血酶原时间,应建议患者在服用香豆素类抗凝剂期间定期监测凝血酶原时间。如调整辛伐他汀剂量或停药,应重复以上步骤。对于未服用香豆素类抗凝剂的患者,出血或凝血酶原时间变化与服用辛伐他汀无关。地高辛 一项研究发现,同时服用地高辛和辛伐他汀使地高辛的血药浓度轻度升高。联合使用地高辛和辛伐他汀时应当监测地高辛血药浓度。
【药物过量】有少数服药过量的报道;最大服用剂量为3.6g。所有患者均康复且无后遗症。一般采取常规措施处理服药过量。
【药理毒理】
药理作用 辛伐他汀是一种前药,给药后水解为活性形式β-羟基酸,即辛伐他汀酸。辛伐他汀是特异性的HMG-CoA还原酶抑制剂,该酶作为胆固醇生物合成的限速酶,催化HMG-CoA转化为甲羟戊酸。辛伐他汀能降低血浆极低密度脂蛋白(VLDL)和甘油三酯(TG)浓度,升高血浆高密度脂蛋白胆固醇(HDL-C)的浓度。
毒理研究 中枢神经系统(CNS)毒性:犬经口给予辛伐他汀180mg/kg/天(基于暴露水平推算,约为人体剂量80mg/天的12倍或更高),连续给药14周,可见视神经退化。犬经口给予与辛伐他汀化学性质类似的药物60mg/kg/天(基于总酶抑制活性推算,约为人最大推荐剂量的30倍或更高),可见视神经退化(视网膜-膝状体(神经)纤维的华勒(氏)变性),该效应具有剂量相关性。
犬经口给予辛伐他汀180mg/kg/天,连续给药14周,可见前庭(耳)蜗的Wallerian-like样变质和视网膜神经节细胞染质溶解, 该剂量产生的平均血浆药物水平与每日60mg/kg/天剂量下的水平相似。
CNS血管性损害:犬经口给予辛伐他汀剂量达360mg/kg/天(基于暴露水平推算,约为人体80mg/天的14倍或更高),可见血管周围出血和水肿,血管周隙单核细胞渗透、血管周隙纤维蛋白沉着和小血管坏死,同类药物也观察到类似的CNS血管病变。 雌性大鼠经口给予辛伐他汀50和100mg/kg/天(基于暴露水平推算,分别约为人体80mg/天的22和25倍),连续给药2年;犬经口给予辛伐他汀90mg/kg/天(19倍)连续3个月,以及50mg/kg/天(5倍)连续2年,可见动物出现白内障。
遗传毒性:辛伐他汀在使用或未使用大鼠或小鼠肝脏代谢活化的微生物致突变性(Ames)试验、大鼠肝细胞遗传物质损伤试验、V-79哺乳动物细胞正向突变试验和CHO细胞染色体畸变试验,以及体内小鼠微核试验结果均为阴性。
生殖毒性:雄性大鼠重复经口给予辛伐他汀25mg/kg,给药34周,可见生育力降低(基于暴露水平推算,约为人体80mg/天的4倍),但在随后的雄性大鼠重复给予辛伐他汀25mg/kg的11周毒性试验,观察至完整的精子周期,包括附睾成熟,未见对生育力的明显损伤,未见睾丸明显组织病理学改变,但在180mg/kg(基于暴露水平推算,约为人体80mg/天的22倍)可见生精小管退化(坏死和生精上皮细胞丢失)。犬重复给予辛伐他汀10mg/kg(基于暴露水平推算,约为人体80mg/天的2倍)可见药物相关的睾丸萎缩、精子生成降低、精母细胞退化、巨细胞形成,临床相关性尚不明确。妊娠大鼠和兔分别经口给予辛伐他汀25mg/kg和10mg/kg(约为人体暴露量的3倍),未见胚胎-胎仔生长发育明显异常,但其他结构类似的他汀类药物在可见大鼠和兔的子代骨骼肌畸形。大鼠经口给予辛伐他汀活性羟酸化代谢产物60mg/kg/天,可见母体体重下降、胚胎吸收率增加和骨骼肌畸形增多。之后的类似试验显示,胚胎吸收和骨骼肌畸形仅发生于啮齿类动物,且与母体毒性(前胃损害并伴有体重下降)有关。
致癌性:小鼠经口给予辛伐他汀25、100和400mg/kg/天,给药72周,平均血浆药物水平分别约相当于人体剂量80mg/天暴露量的1、4和8倍,肝细胞癌在高剂量雌性和中、高剂量雄性动物的发病率模型升高,其中在雄性动物的最高发病率达90%,中、高剂量组雌性肝脏腺瘤的发病率模型升高,高剂量组哈德腺(啮齿类动物眼部腺体)腺瘤的发病率模型升高,未见25mg/kg组致瘤作用的证据。在一项独立的92周小鼠致癌性研究中,未观察到25mg/kg组(基于暴露水平推算,约相当于人体80mg/天)致瘤作用的证据。大鼠2年致癌性试验,25mg/kg剂量组雌性动物,甲状腺滤泡细胞腺瘤的发病率明显增加,暴露水平约为人体剂量80mg/天暴露量的11倍。另一项大鼠2年致癌性试验,50和100mg/kg剂量组肝细胞腺瘤和肝细胞癌发生率增加(两个剂量组的雌性动物和高剂量组雄性动物均出现),两个剂量组雌雄动物甲状腺滤泡细胞腺瘤的发病率明显增加,100mg/kg剂量组雌性动物的甲状腺滤泡细胞癌发生率增加,以上甲状腺肿瘤发生率增加与他汀类其他药物相似,分别约为人体80mg/天血浆暴露水平的7倍和15倍(雄性)以及22倍和25倍(雌性)。
【药代动力学】
辛伐他汀经口服后对肝脏有高度的选择性,其在肝脏中的浓度明显高于其他非靶性组织,辛伐他汀的大部分在肝脏进行广泛的首过吸收,主要作用在肝脏,随后经胆汁排泄。只有低于5%剂量的辛伐他汀活性成份在外周中发现,而其中95%可与血浆蛋白结合。一项药代动力学试验显示,同时服用地尔硫卓导致辛伐他汀酸的暴露量增加了2.7倍,推测是由CYP3A4的抑制作用引起(见注意事项,肌病/横纹肌溶解)。一项药代动力学试验显示,同时服用氨氯地平导致辛伐他汀酸的暴露量增加了1.6倍(见注意事项,肌病/横纹肌溶解)。一项药代动力学试验显示,2g单剂量缓释烟酸与辛伐他汀20mg联用时,可导致辛伐他汀和辛伐他汀酸的AUC及辛伐他汀酸血浆浓度Cmax的升高(见注意事项,肌病/横纹肌溶解)。夫西地酸在肝脏的特定代谢途径尚不清楚, 但仍怀疑夫西地酸和经CYP3A4代谢的HMG-CoA还原酶抑制剂有相互作用(见注意事项,肌病/横纹肌溶解)。
【贮 藏】密闭,在30℃以下保存。
【包 装】口服固体药用高密度聚乙烯瓶(1)10mg:10片/瓶,20片/瓶 ;1瓶/盒;(2)20mg:10片/瓶;1瓶/盒;
【有 效 期】24个月
【执行标准】YBH05412020
【批准文号】10mg:国药准字H20065119 20mg:国药准字H20065120
【生产企业】
企业名称:半岛平台
生产地址:山东省临沂高新技术产业开发区罗七路
邮政编码:276017
电话号码:0539-8257899 8481991
传真号码:0539-8481990
售后服务:0539-8242699
网 址:www.bpdentalplans.com
高脂血症
对于原发性高胆固醇血症包括杂合子家族性高胆固醇血症、高脂血症或混合性高脂血症的患者,当饮食控制及其他非药物治疗不理想时,结合饮食控制,本品可用于降低升高的总胆固醇、低密度脂蛋白胆固醇、载脂蛋白B和甘油三酯,且可升高高密度脂蛋白胆固醇,从而降低低密度脂蛋白胆固醇/高密度脂蛋白胆固醇及总胆固醇/高密度脂蛋白胆固醇的比率。对于纯合子家族性高胆固醇血症患者,结合饮食控制及非饮食疗法,本品可用于降低升高的总胆固醇、低密度脂蛋白胆固醇和载脂蛋白B。
冠心病
对于冠心病合并高胆固醇血症的患者,本品适用于:降低死亡的危险性;降低冠心病死亡及非致死性心肌梗死的危险性;降低卒中和短暂性脑缺血的危险性;降低心脏血管重建手术(冠状动脉旁路移植术及经皮腔内冠状动脉成形术)的危险性;延缓冠状动脉粥样硬化的进程,包括减少新病灶及全堵塞的形成。
患有杂合子家族性高胆固醇血症的儿童患者
对于患有杂合子家族性高胆固醇血症的10~17岁的青春期男孩和女孩(至少初潮1年后),结合饮食控制,本品可用于降低总胆固醇、低密度脂蛋白胆固醇、甘油三酯和载脂蛋白B。
患者接受本品治疗以前,应接受标准的降胆固醇饮食并在治疗过程中继续维持。
推荐剂量范围为每天5~40mg,晚间一次服用,所用剂量应根据基础低密度脂蛋白胆固醇水平、推荐的治疗目标和患者反应进行个体化调整。调整剂量应间隔4周或以上。推荐的起始剂量为每天10mg或20mg,晚间一次服用。对于因存在冠心病、糖尿病、周围血管疾病、卒中或其他脑血管疾病史而属于CHD事件高危人群的患者,推荐的起始剂量为20~40mg/天。对于只需中度降低低密度脂蛋白胆固醇的患者,起始剂量为10mg。----限制80mg/天剂量的使用 辛伐他汀可增加肌病包括横纹肌溶解的风险(特别是在用药的第一年内)。基于上述风险,对于40mg/天剂量未能使低密度脂蛋白胆固醇达标的患者,不应再增加给药剂量,而应转换为其他疗效更强的疗法。对于原来正在使用辛伐他汀80mg且无安全性问题的患者,如果需要开始使用与辛伐他汀有相互作用的药物,而该药物禁止与辛伐他汀合用,或者合用该药物时对辛伐他汀的剂量有限制,则应当将本品转换为药物相互作用可能性较低的其他他汀类药物。由于增加肌病包括横纹肌溶解的风险,本品80mg剂量仅限用于既往已经长期使用(≥1年)辛伐他汀80mg剂量,并且不存在肌肉毒性证据的患者。----合并使用其他药物 同时服用维拉帕米、地尔硫卓或决奈达隆:本品的剂量不能超过10mg/天;同时服用胺碘酮、氨氯地平、雷诺嗪或含有elbasvir、grazoprevir的药物:本品的剂量不能超过20mg/天。
----纯合子家族性高胆固醇血症
根据一项对照临床研究的结果,对于纯合子家族性高胆固醇血症患者,本品的推荐剂量为每天40mg,晚间一次服用。本品可与其他降脂疗法联合应用(如低密度脂蛋白血浆分离置换法),当无法使用这些方法时,可单独使用本品。同时服用洛美他派,本品的剂量不能超过40mg/天。
----肾功能不全的患者
由于本品经肾脏排泄不明显,故轻、中度肾功能不全患者不需调整剂量。然而,对于严重肾功能不全的患者(肌酐清除率<30ml/分钟)应慎用本品,此类患者的起始剂量应为每天5mg,并密切监测。
----杂合子家族性高胆固醇血症儿童患者(10~17岁)
对杂合子家族性高胆固醇血症10~17岁的儿童患者,本品推荐的起始剂量为每天10mg,晚间一次服用。推荐的剂量范围为每天10~40mg,推荐的最大剂量为每天40mg。所用剂量应根据推荐的治疗目标进行个体化调整。
----中国患者使用调脂剂量的烟酸或含烟酸药物
中国患者合并使用辛伐他汀40mg/天与调脂剂量的烟酸或含烟酸药物时,肌病风险增高,因此,中国患者合并使用超过20mg剂量的辛伐他汀与调脂剂量的烟酸或含烟酸药物要谨慎。因为肌病的风险与剂量具有相关性,中国患者不应合并使用80mg剂量辛伐他汀与调脂剂量的烟酸或含烟酸药物。中国患者肌病风险增加的原因尚不明确。尚不清楚在其他亚裔患者中,联合应用是否会导致肌病的风险增加。